Официальное опубликование правовых актов
ОФИЦИАЛЬНОЕ ОПУБЛИКОВАНИЕ
Приказ Министерства природных ресурсов и экологии Российской Федерации от 25.02.2015 № 69
"Об утверждении Положения о национальном парке "Самарская Лука"
(Зарегистрирован 12.05.2015 № 37255)
Номер опубликования: 0001201505150033
Дата опубликования: 15.05.2015
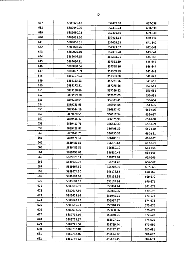
Страница №25 из 138:
Увеличить