Официальное опубликование правовых актов
ОФИЦИАЛЬНОЕ ОПУБЛИКОВАНИЕ
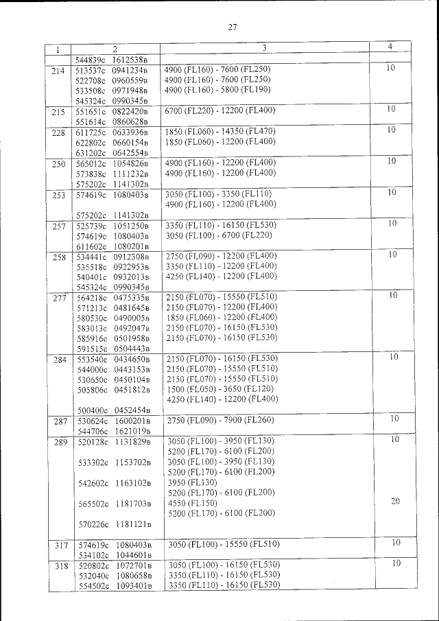
Приказ Министерства транспорта Российской Федерации от 26.03.2015 № 49
"О внесении изменений в маршруты обслуживания воздушного движения, утвержденные приказом Министерства транспорта Российской Федерации от 24 октября 2011 г. № 273"
(Зарегистрирован 30.04.2015 № 37092)
Номер опубликования: 0001201505060040
Дата опубликования: 06.05.2015
Страница №28 из 33:
Увеличить