Официальное опубликование правовых актов
ОФИЦИАЛЬНОЕ ОПУБЛИКОВАНИЕ
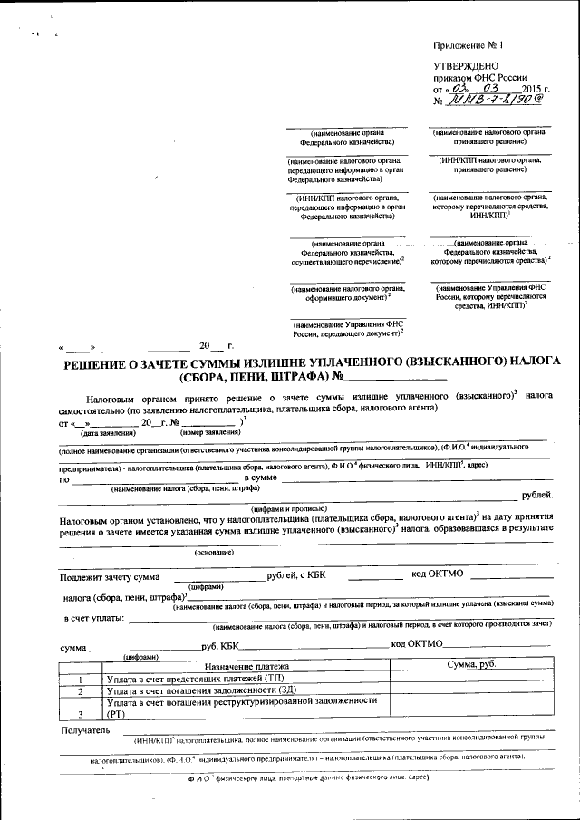
Приказ Федеральной налоговой службы от 03.03.2015 № ММВ-7-8/90@
"Об утверждении форм документов, используемых налоговыми органами при осуществлении зачета и возврата сумм излишне уплаченных (взысканных) налогов, сборов, пеней, штрафов"
(Зарегистрирован 27.03.2015 № 36602)
Номер опубликования: 0001201504010006
Дата опубликования: 01.04.2015
Страница №3 из 13:
Увеличить