Официальное опубликование правовых актов
ОФИЦИАЛЬНОЕ ОПУБЛИКОВАНИЕ
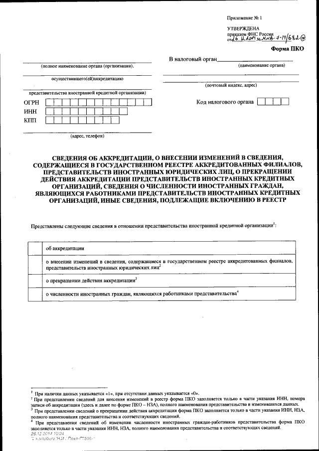
Приказ Федеральной налоговой службы от 26.12.2014 № ММВ-7-14/682@
"Об утверждении форм и форматов представления в налоговый орган Центральным банком Российской Федерации, федеральным органом исполнительной власти, осуществляющим функции по оказанию государственных услуг и управлению государственным имуществом в сфере воздушного транспорта (гражданской авиации), сведений об аккредитации, о принятом решении об аккредитации, внесении изменений в сведения, содержащиеся в государственном реестре аккредитованных филиалов, представительств иностранных юридических лиц, прекращении действия аккредитации, принятом решении о прекращении действия аккредитации представительств иностранных кредитных организаций и представительств иностранных юридических лиц, осуществляющих деятельность в области гражданской авиации, сведений о численности иностранных граждан, являющихся работниками соответствующих представительств, иных сведений, подлежащих включению в реестр"
(Зарегистрирован 16.02.2015 № 36047)
Номер опубликования: 0001201502190001
Дата опубликования: 19.02.2015
Страница №3 из 61:
Увеличить