Официальное опубликование правовых актов
ОФИЦИАЛЬНОЕ ОПУБЛИКОВАНИЕ
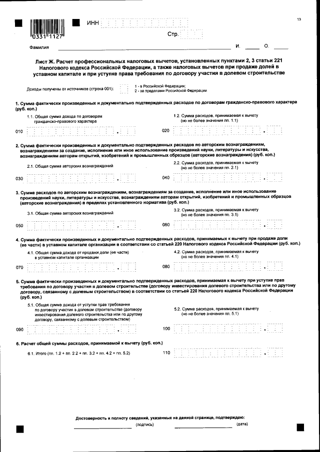
Приказ Федеральной налоговой службы от 24.12.2014 № ММВ-7-11/671@
"Об утверждении формы налоговой декларации по налогу на доходы физических лиц (форма 3-НДФЛ), порядка ее заполнения, а также формата представления налоговой декларации по налогу на доходы физических лиц в электронной форме"
(Зарегистрирован 30.01.2015 № 35796)
Номер опубликования: 0001201502030019
Дата опубликования: 03.02.2015
Страница №13 из 157:
Увеличить