Официальное опубликование правовых актов
ОФИЦИАЛЬНОЕ ОПУБЛИКОВАНИЕ
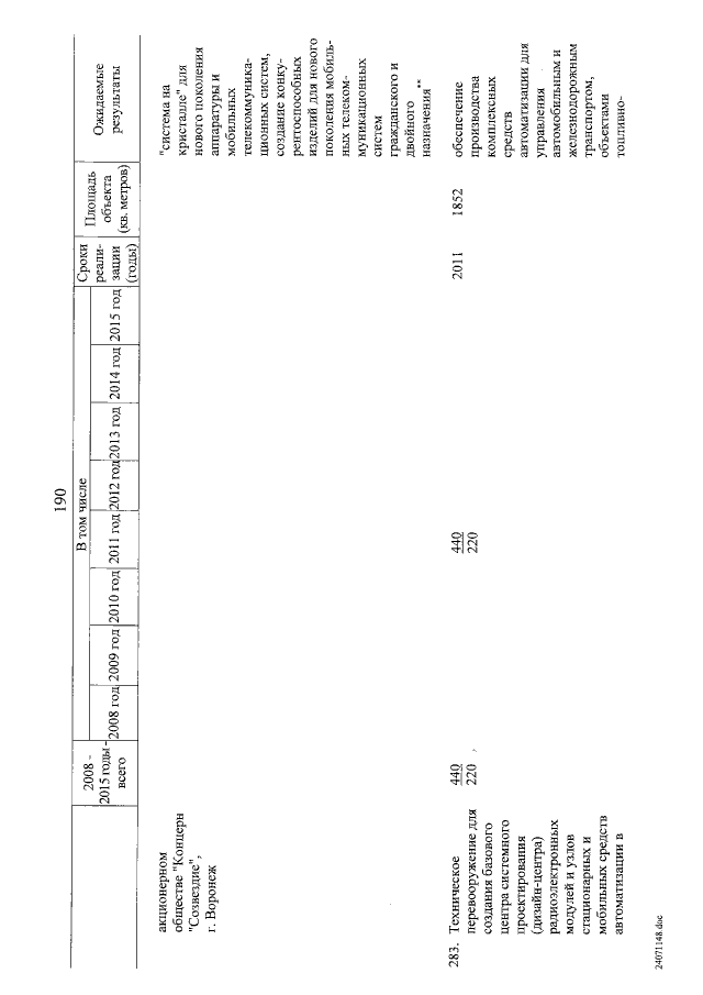
Постановление Правительства Российской Федерации от 19.08.2014 № 829
"О внесении изменений в федеральную целевую программу "Развитие электронной компонентной базы и радиоэлектроники" на 2008 - 2015 годы"
Номер опубликования: 0001201408250007
Дата опубликования: 25.08.2014
Страница №191 из 248:
Увеличить