Официальное опубликование правовых актов
ОФИЦИАЛЬНОЕ ОПУБЛИКОВАНИЕ
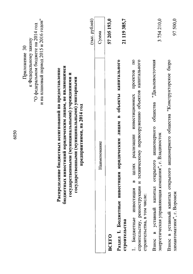
Федеральный закон от 02.12.2013 № 349-ФЗ
"О федеральном бюджете на 2014 год и на плановый период 2015 и 2016 годов"
Номер опубликования: 0001201312040001
Дата опубликования: 04.12.2013
Страница №6050 из 6404:
Увеличить